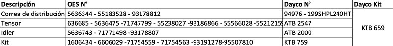
Información técnica Dayco: KTB759

VISTAS 11218


Esta nota es presentada por:



Asunto: KTB759

Fiat Toro 2.0 16 Val. Diesel y Jeep Renegade 2.0 16 Val. Diesel

El kit de distribución KTB759 incluye:

• una correa de distribución 94976 con 199 dientes y 24 mm de ancho (OES 5636344 —55183528 — 93178812 )
• un tensor ATB2547 (OES 636685 —5635475 — 71747799 — 55238027 —93186866 — 55566028 — 55212159 )
• un rodillo ATB2000 (OES 5636743 —71771498 — 93178807 )







MONTAJE Y PUESTA EN TENSIÓN

• Con los utensilios N. 1870815000 y 1870836000 mantenga sujetado el piñón del árbol de levas.
• Afloje el perno del piñón del árbol de levas comprobando que el piñón del árbol de levas pueda girar sin descentramientos.
• Compruebe que el utensilio de bloqueo del árbol de levas de aspiración esté colocado correctamente y que la herramienta de regulación del cigüeñal pueda montarse.
• Instale el nuevo tensor y el nuevo rodillo.
• Coloque la nueva correa de distribución en el sentido de las agujas del reloj, empezando por el piñón del cigüeñal y compruebe que las marcas en A y en B estén alineadas.
• Coloque la herramienta de regulación del cigüeñal, después de haber quitado el tomillo de la bomba de aceite, y, seguidamente, haber enroscado el espárrago.
• Fije todo con su correspondiente tomillo, como se indica en la Fig. 1.
• Afloje el perno del tensor.
• Haciendo palanca en la abrazadera, vaya trabajando en el piñón hasta que el indicador móvil quede en la posición indicada en la Fig. 2.





• Bloquee el perno del tensor utilizando un par de 23-28 Nm.
• Desmonte la herramienta de regulación del cigüeñal y el utensilio de bloqueo del árbol de levas de aspiración.
• Utilizando los utensilios N. 1870815000 y 1870836000 mantenga sujetado el piñón del árbol de levas.
• Bloquee el perno del piñón del árbol de levas utilizando un par de 28-31 Nm + 40°.
• Gire dos vueltas el cigüeñal en el sentido de las agujas del reloj y afloje el perno del tensor.
• Haciendo palanca en la abrazadera, vaya trabajando en el piñón hasta que el indicador móvil quede en la posición indicada en la Fig. 3, y bloquee el perno del tensor utilizando un par de 23-28 Nm.





• Gire dos vueltas el cigüeñal en el sentido de las agujas del reloj y compruebe que el utensilio de bloqueo del árbol de levas de aspiración y la herramienta de regulación del cigüeñal puedan ser instalados correctamente.
• De no ser así, repita los pasos de la puesta en tensión.
• Desmonte la herramienta de regulación del cigüeña' I y el utensilio de bloqueo del árbol de levas de aspiración y monte el perno en la tapa del soporte delantero.
• Monte la abrazadera del soporte del motor, el cárter de la distribución, la polea del cigala' I con sus correspondientes bulones y bloquee los bulones de la polea del cigüeñal utilizando un par de 23-28 Nm.
• Vuelva a montar las demás piezas en orden contrario al del desmontaje.



Seleccione su provincia o ciudad.

captcha
Suscribite a nuestro Newsletter Toda la información que necesitás sobre posventa y mercado automotriz, en tu casilla.
Suscribirme
Seguinos hoy!